이진트리 순회(넓이우선탐색 : 레벨탐색)

import java.util.LinkedList;
import java.util.Queue;
class Node{
int data;
Node lt, rt;
public Node(int val){
data=val;
lt=rt=null;
}
}
public class Main{
Node root;
public void BFS(Node root){
Queue<Node> Q = new LinkedList<>();
Q.offer(root);
int L=0;
while(!Q.isEmpty()){
int len=Q.size();
System.out.print(L+" : ");
for(int i=0; i<len; i++){
Node cur = Q.poll(); // 큐에서 꺼냄
System.out.print(cur.data+" ");
if(cur.lt!=null) Q.offer(cur.lt); // 말단 노드가 아니라면 큐에 넣음
if(cur.rt!=null) Q.offer(cur.rt);
}
L++; // 레벨 증가
System.out.println();
}
}
public static void main(String[] args) {
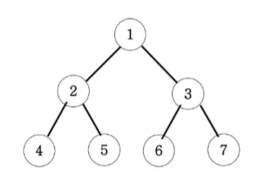
Main tree=new Main();
tree.root=new Node(1);
tree.root.lt=new Node(2);
tree.root.rt=new Node(3);
tree.root.lt.lt=new Node(4);
tree.root.lt.rt=new Node(5);
tree.root.rt.lt=new Node(6);
tree.root.rt.rt=new Node(7);
tree.BFS(tree.root); // 루트 노드의 주소 (100번지)
}
}
출력
0 : 1
1 : 2 3
2 : 4 5 6 7
반응형
'ALGORITHM' 카테고리의 다른 글
| [JAVA] 알고리즘 : Tree 말단노드까지 가장 짧은 경로(DFS/BFS) (0) | 2022.09.07 |
|---|---|
| [JAVA] 알고리즘 : 송아지 찾기(BFS) (0) | 2022.09.07 |
| [JAVA] 백준 2447번 - 별 찍기 - 10 (0) | 2022.09.06 |
| [JAVA] 백준 11729번 - 하노이 탑 이동 순서 (0) | 2022.09.06 |
| [JAVA] 백준 17478번 - 재귀함수가 뭔가요? (0) | 2022.09.05 |