
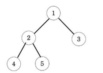
그림과 같은 이진트리에서 루트 노드 1에서 말단노드까지의 길이 중 가장 짧은 길이를 구하는 프로그램을 작성하라.
각 경로의 길이는 루트노드에서 말단노드까지 가는데 이동하는 횟수를, 즉 간선(에지)의 개수의 길이이다.
DFS
class Node{
int data;
Node lt, rt;
public Node(int val){
data=val;
lt=rt=null;
}
}
public class Main{
Node root;
public int DFS(int L, Node root){
if(root.lt==null && root.rt==null) return L; // 말단 노드라면 레벨 리턴
else return Math.min(DFS(L+1, root.lt), DFS(L+1, root.rt)); // 자식 노드들의 최솟값 리턴
}
public static void main(String[] args) {
Main tree = new Main();
tree.root=new Node(1);
tree.root.lt=new Node(2);
tree.root.rt=new Node(3);
tree.root.lt.lt=new Node(4);
tree.root.lt.rt=new Node(5);
System.out.println(tree.DFS(0, tree.root)); // 0번 레벨의 100번지 호출
}
}
BFS
10.
import java.util.LinkedList;
import java.util.Queue;
class Node{
int data;
Node lt, rt;
public Node(int val){
data=val;
lt=rt=null;
}
}
public class Main{
Node root;
public int BFS(Node root){
Queue<Node> Q = new LinkedList<>();
Q.offer(root);
int L = 0;
while(!Q.isEmpty()){
int len=Q.size();
for(int i=0; i<len; i++){
Node cur=Q.poll();
if(cur.lt==null && cur.rt==null) return L; // 말단 노드라면
if(cur.lt!=null) Q.offer(cur.lt);
if(cur.rt!=null) Q.offer(cur.rt);
}
L++;
}
return 0;
}
public static void main(String[] args) {
Main tree = new Main();
tree.root=new Node(1);
tree.root.lt=new Node(2);
tree.root.rt=new Node(3);
tree.root.lt.lt=new Node(4);
tree.root.lt.rt=new Node(5);
System.out.println(tree.BFS(tree.root));
}
}
반응형
'ALGORITHM' 카테고리의 다른 글
| [JAVA] 알고리즘 : 그래프 최단거리(BFS) (0) | 2022.09.09 |
|---|---|
| [JAVA] 알고리즘 : 경로탐색(DFS) (0) | 2022.09.09 |
| [JAVA] 알고리즘 : 송아지 찾기(BFS) (0) | 2022.09.07 |
| [JAVA] 알고리즘 : BFS- 이진트리 레벨탐색 (0) | 2022.09.07 |
| [JAVA] 백준 2447번 - 별 찍기 - 10 (0) | 2022.09.06 |